Chapter 39
Topical Ophthalmic Antibiotics in the Management of Bacterial Conjunctivitis and Keratitis
RENÉE SOLOMON and ERIC DONNENFELD
Main Menu   Table Of Contents

Search

BACTERIAL CONJUNCTIVITIS
BACTERIAL KERATITIS
PROPERTIES OF TOPICAL OPHTHALMIC ANTIBACTERIAL AGENTS
REFERENCES

BACTERIAL CONJUNCTIVITIS
Bacterial conjunctivitis is common,1 generally mild to moderate in severity, and usually self-limiting. Treatment with topical ophthalmic antibiotics speeds resolution of the disease, decreases morbidity, prevents recurrence and spread of the disease to social contacts, decreases the incidence of permanent conjunctival changes, decreases the risk of corneal or intraocular infection when surgery is anticipated, and prevents the development of chronic conjunctivitis with its greater treatment challenges and risk of progression to corneal damage or disease.2–4 The most frequently isolated pathogens in acute bacterial conjunctivitis are Streptococcus pneumoniae and Haemophilus influenzae in pediatric patients and Staphylococcus epidermidis in adult patients.5,6

Chronic conjunctivitis is defined as any case of conjunctivitis that lasts longer than 2 weeks. The most common pathogens associated with this condition are Staphylococcus aureus and S. epidermidis, the most common organisms found in normal lid and conjunctival flora. These pathogens produce toxins that can damage the conjunctiva and cornea producing the superficial punctate keratopathy that is commonly seen. The punctate keratopathy characteristically involves the inferior cornea and conjunctiva. These organisms also commonly spread to other ocular structures, such as the meibomian orifices, lash follicles, and the lacrimal canaliculi, and may even breach the corneal epithelium.2,3

Other, more serious types of infectious conjunctivitis include hyperacute bacterial conjunctivitis, usually caused by Neisseria gonorrhoeae andS. pneumoniae. N. gonorrhoeae is often associated with oropharyngeal infections and requires systemic and topical therapy.2,3

In the treatment of acute bacterial conjunctivitis, most physicians do not perform cultures and therefore prescribe broad-spectrum antibiotic agents. Because bacterial conjunctivitis is usually self-limiting, agents associated with a higher incidence of ocular toxicity or hypersensitivity reactions are best avoided. Combination products with gram-positive and gram-negative coverage are popular for their broad spectrum of activity, but some contain agents that can be irritating or cause allergic reactions. Patient compliance is a common treatment challenge, particularly in pediatric patients because they are reluctant to let anyone instill anything into their eyes and are sensitive to irritating agents.

Back to Top
BACTERIAL KERATITIS
Bacterial keratitis is an ophthalmic emergency that has the potential to cause significant vision loss secondary to corneal scarring and perforation. Rapid diagnosis and immediate treatment with appropriate antimicrobial therapy are necessary to limit the extent of tissue damage and to improve the visual prognosis.3,7 Approximately 30,000 cases of microbial keratitis are diagnosed each year in the United States.8 The most likely causative organisms depend on geographic location, preexisting corneal disease, urban or rural environment, history of contact lens wear, and climate.9–13

Approximately 87% of all cases of bacterial keratitis in the United States result from infection by one of the following organisms: Gram-positive infections are most commonly secondary to streptococci or staphylococci, whereas the gram-negative organisms include Pseudomonas species or Enterobacteriaceae (especially Serratia marcescens but also Citrobacter, Klebsiella, Enterobacter, and Proteus species).14–16 Currently, the most common causes of microbial keratitis are S. aureus in the northern United States and Pseudomonas and Streptococcus species in the southern United States.3,11,17 S. pneumoniae is the most common pathogen in many developing countries. Staphylococcus species are the most common organism associated with photorefractive keratectomy or LASIK.18 Pseudomonas species are frequently associated with overnight contact lens wear but may also be seen with daily-wear contact lenses.19–27 In fact, Pseudomonas species have become a more common cause of bacte-rial keratitis in the southern United States thanS. aureus.28,29 In children younger than 3 years of age, Pseudomonas species have been identified as the most common bacterial cause of keratitis.30,31

Many ophthalmologists diagnose and treat bacterial keratitis based on their empirical observations and only perform a microbial analysis on particularly severe ulcers (e.g., those encroaching on or involving the visual axis). Most physicians choose what they think to be a broad-spectrum antibiotic and begin treatment immediately,3,32,33 but the choice of agent may also be influenced by which pathogen is suggested by the disease presentation and the physicians' knowledge of pathogen prevalence in the local environment and patient population.28,34–36 Care must be taken in the choice of a broad-spectrum antibiotic because certain commercially available agents may have significant gaps in the spectra of their antimicrobial efficacy, may poorly penetrate the cornea, or may be bacteriostatic rather than bactericidal. Any of these characteristics would make them unsuitable for the treatment of bacterial keratitis.

For approximately 25 years, the mainstay for the treatment of these infections has been dual therapy using topically administered fortified antibiotics.37 These antibiotics are not commercially available and are specially formulated by hospital pharmacies or physicians when needed. Traditionally, one antibiotic provided coverage against gram-negative pathogens (an aminoglycoside such as tobramycin or gentamicin [13.6 mg/ml]), and the second antibiotic covered the spectrum of gram-positive bacteria (vancomycin [25 mg/mL], cefazolin [50 mg/mL], or bacitracin [10,000 U/mL]). Together, they provided an initial empirical regimen for the treatment of bacterial keratitis. During the past several years, the fluoroquinolone family of antibiotics has offered an alternative to fortified antibiotics as the mainstay of treatment for bacterial ulcerations. Two double-masked, controlled, clinical trials have supported the clinical efficacy of using the commercially available fluoroquinolones (ofloxacin 0.3% or ciprofloxacin 0.3%) as compared with fortified tobramycin and cefazolin.38,39

There are various routes for administering antibiotics in the treatment of ocular infections and include topical, subconjunctival, oral, intravenous, and intramuscular. Topical application of antibiotics is the preferred route of administration for bacterial conjunctivitis and keratitis because the drops provide therapeutically effective concentrations; the drops wash away bacteria and bacterial antigens; adverse systemic effects of the drugs are decreased or eliminated; and in reliable patients, they can be administered on an outpatient basis.40–43 The factors that contribute to achieving effective therapeutic concentrations of the drug in the cornea include the frequency of administration, the concentration of the drug, the lipophilic nature of the drug where the epithelium is intact, the length of contact time of the drug with the cornea, and the lack of an intact corneal epithelium.44,45 The next section deals with the individual characteristics of the various topical ophthalmic antibiotics used to treat bacterial conjunctivitis and keratitis.

Back to Top
PROPERTIES OF TOPICAL OPHTHALMIC ANTIBACTERIAL AGENTS

FLUOROQUINOLONES

Chemistry, Ophthalmic Preparation, and Pharmacologic Action

The fluoroquinolones, the newest class of agents to be developed, are based on the prototype, nalidixic acid (1,8-naphthyridine), which was synthesized in 1962.46

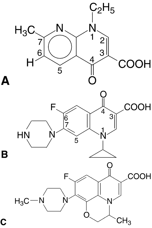
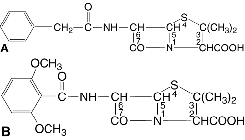
In the 1980s, the fluoroquinolones were created from nalidixic acid by adding a fluorine atom to position 6 of the molecule (Fig. 1). This addition widened the antibacterial spectrum of activity and resulted in decreased development of resistant organisms. Three fluoroquinolones available for ophthalmic use are ofloxacin (Ocuflox, Allergan, Inc, Irvine, CA), ciprofloxacin (Ciloxan, Alcon Laboratories, Inc, Fort Worth, TX), and norfloxacin (Chibroxin, Merck & Co, Inc, West Point, PA). They are formulated as 0.3% solutions and their structural formulas are shown in Figure 1.

Fig. 1. Chemical structure of the nalidixic acid (A) from which the fluoroquinolones, including ciprofloxacin (B) and ofloxacin (C), were derived.

The fluoroquinolones are bactericidal and work by inhibiting bacterial DNA gyrase (bacterial topoisomerase II), the enzyme responsible for maintaining the superficial twists in bacterial DNA.47 They provide broad-spectrum activity against gram-positive and gram-negative bacteria in vivo and in vitro. They have less predictable activity against anaerobes and streptococci.48

The fluoroquinolones are also available for systemic use, but clinical profiles of the ophthalmic and systemic formulations are distinctly different. For example, topical ophthalmic ofloxacin and ciprofloxacin are indicated for use in children as young as 1 year of age, whereas systemic formulations are approved only for use in older children and adults because of concerns about the potential risk of drug deposition in cartilage and arthropathy. In addition, the prevalence of fluoroquinolone-resistant bacteria is much higher among systemic pathogens than among the ocular pathogens commonly associated with conjunctivitis and keratitis. Moreover, although the use of systemic fluoroquinolones must be carefully considered to prevent further induction of resistant strains, this is of much less concern in ophthalmic use, because the strains of bacteria affected are much lower.49 Although resistance has been less of a concern in ophthalmic use, resistance to fluoroquinolone antibiotics has been increasing, and for this reason, their use is generally reserved for vision-threatening infections and infections not responding to conventional therapy.50

Clinical Experience and Ophthalmic Uses for the Individual Ophthalmic Preparations of the Fluoroquinolones

OFLOXACIN 0.3% SOLUTION

Ofloxacin has been tested against many previously established antibiotics in the treatment of external ocular infection and has been found to have a wide spectrum of activity.51–53 The Ofloxacin Study Group compared the effectiveness and safety of ofloxacin 0.3% with gentamicin 0.3% in the treatment of bacterial external ocular disease. Clinical improvement rates were 98% (51 of 52) in the ofloxacin group versus 92% (48 of 52) in the gentamicin group. Ofloxacin eradicated or controlled a similar proportion of cultured organisms as did gentamicin. There was no statistically significant difference in activity between the two drugs. The incidence of adverse effects attributable to ofloxacin treatment was 3.2% compared with 7.1% for gentamicin.54

The Ofloxacin Study Group also compared the efficacy of a 10-day course of topical ofloxacin to topical tobramycin in the treatment of external ocular infection. Initially, the clinical, microbiologic, and overall improvement rates were not statistically significantly different between the two groups. The ofloxacin-treated patients' examination signs and symptoms on days 3 to 5 were significantly more reduced than those of the tobramycin-treated patients.55,56

Ofloxacin has also been proven to be comparable with chloramphenicol in the treatment of external ocular infection57 while avoiding the risk of possibly fatal systemic complications that have been associated with topical chloramphenicol.

Ofloxacin has been compared with the traditional treatment regimen of a fortified aminoglycoside combined with a fortified cephalosporin in the treatment of bacterial keratitis. O'Brien and coworkers compared ofloxacin 0.3% monotherapy with tobramycin 1.5% plus cefazolin 10% therapy. The proportion of healed ulcers in both culture-positive treatment groups was similar (89% ofloxacin healed by 28 days and 86% of combination therapy healed by 28 days). Adverse effects were higher in the fortified antibiotics group; five of the six culture-positive patients who discontinued study medications were in the fortified antibiotics group.38 The Ofloxacin Study Group compared ofloxacin monotherapy to traditional dual therapy of fortified gentamicin 1.5% and cefuroxime 5%. This group found both treatments to be equally effective in the 49 culture-positive cases studied.51 Ofloxacin is more efficacious against methicillin-resistant S. aureus than ciprofloxacin is.58

Of the currently available fluoroquinolones, ofloxacin has the highest intrinsic solubility,59 is well tolerated because of its near-neutral pH (6.4), and has the highest rate of penetration into ocular tissues.60,61 This high rate of tissue penetration may also be significant in those cases in which physicians wish to use a topical antibiotic for prophylaxis in intraocular surgery.

CIPROFLOXACIN 0.3% SOLUTION

In two randomized multicenter studies, ciprofloxacin 0.3% was compared with a placebo and with tobramycin 0.3% in the treatment of culture-positive bacterial conjunctivitis. Ciprofloxacin was statistically significantly more effective than placebo with reduction or eradication of pathogens in 93.6% of ciprofloxacin-treated patients versus 59.5% of the placebo group. Ciprofloxacin and tobramycin were equally effective, with improved cultures in 94.5% and 91.9% of patients, respectively.62

Topical ciprofloxacin 0.3% has also been proven as safe and effective as tobramycin 0.3% and fusidic acid gel 1% in the treatment of bacterial conjunctivitis in a study of 257 pediatric patients. The investigators determined 87.0% of the ciprofloxacin-treated patients and 89.9% of the tobramycin-treated patients to be clinically cured after 7 days of treatment. No adverse effects occurred in either of the treatment groups.63–65

Monotherapy with ciprofloxacin 0.3% has been compared with combination therapy in the treatment of bacterial keratitis. Hyundik and coworkers studied 176 culture-positive cases of bacterial keratitis randomized to treatment with ciprofloxacin 0.3% or with tobramycin 0.3% and cefazolin 5%. There were no statistically significant differences between the treatment regimens in terms of overall clinical efficacy (91.5% versus 86.2%), time to cure, or reduction in signs and symptoms. The incidence of treatment failures was less with ciprofloxacin than with combination fortified therapy. Several other studies have examined the effectiveness of ciprofloxacin in treating ocular bacterial infections.66–73 There was a trend toward resistance ofS. pneumoniae to ciprofloxacin,39 but ciprofloxacin is more active against Streptococcus viridans, Pseudomonas aeruginosa, H. influenzae, and S. marcescens than ofloxacin is.58

Ciprofloxacin has shown potent in vitro activity against P. aeruginosa, including the aminoglycoside-resistant strains.47,74 The overall in vivo effectiveness of ciprofloxacin against pathogens, though high at approximately 92 percent, has declined in the past few years,75 and there is concern about the emergence of resistant strains of Staphylococcus and Pneumococcus species. There also exists an ointment form of ciprofloxacin 0.3% and one clinical trial has shown its effectiveness in treating bacterial keratitis.76

NORFLOXACIN 0.3% SOLUTION

Norfloxacin is the least potent of the topical fluoroquinolones.48,77,78 It has been shown to be effective in the treatment of bacterial conjunctivitis79 but not, with the exception of one small study, bacterial keratitis.80 In conjunctivitis, it is comparable in efficacy to tobramycin 0.3%81 and ciprofloxacin 0.3%.64 Norfloxacin has also been shown to be as effective as gentamicin 0.3% in the treatment of blepharitis and conjunctivitis.82 In the study by Miller and coworkers, norfloxacin suppressed or eliminated 89% of all organisms, based on pretreatment and posttreatment cultures. Norfloxacin has the highest rate of resistant bacteria among the fluoroquinolones based on in vitro testing with ocular isolates.59,83,84

Generalizations on the Group of Ophthalmic Fluoroquinolones

Multiple articles have supported the effectiveness of the fluoroquinolones in treating ocular bacterial infections.85–88

What are the advantages and disadvantages of the fluoroquinolones as compared with other, so-called fortified antibiotics? The aforementioned clinical studies conclusively show that ciprofloxacin and ofloxacin are statistically equal to fortified antibiotics in time to heal and cure rate of infectious corneal ulcers. However, other parameters should be analyzed. The acute management of bacterial corneal ulcers requires rapid access to therapy. In addition, the cost and toxicity of antibiotic therapy must be considered. Fortified antibiotics are not commercially available and must be prepared on request. The fluoroquinolones are superior with respect to accessibility, cost, and low toxicity. The fluoroquinolones perform at least as well as, and often better than, the aminoglycosides in the treatment of gram-negative corneal ulcers.

One of the main advantages of the fluoroquinolones is their high intrinsic solubility.60,89,90 Although ofloxacin is more soluble than ciprofloxacin, both achieve high intracorneal levels in patients with an intact epithelium.71 In a rabbit model with the epithelium intact, it was shown that ciprofloxacin achieves 10.47 μg/mL in the deep cornea; ofloxacin achieved 21.50 μg/mL.60 Ofloxacin is more lipophilic than ciprofloxacin, which may make it more effective in penetrating an intact epithelium.91 In most cases of bacterial keratitis, the epithelium is partially denuded and lipid solubility is not as important an issue because of the loss of the barrier function of the epithelium.92 However, when the more intact the overlying epithelium is, such as in the cases of suture abscesses after penetrating keratoplasty, the more likely ciprofloxacin and ofloxacin are to offer an advantage. The high stromal levels of ciprofloxacin and ofloxacin may explain the excellent clinical response by patients with ulcers despite intermediate or resistant laboratory susceptibility patterns in vitro.

The one species for which ciprofloxacin and ofloxacin are not of equal efficacy to fortified antibiotic solutions is streptococci. Neither in vitro nor clinically do they provide as good gram-positive coverage as cefazolin, vancomycin, or bacitracin. In a multicenter prospective, but nonblinded evaluation of ciprofloxacin 0.3% versus fortified antibiotics performed by Leibowitz,62 23.1% of S. pneumoniae corneal ulcers did not respond to ciprofloxacin. Based on previous in vitro data, case reports, and the two prospective evaluations, streptococci seem to be a weak point in the spectrum of activity of the fluoroquinolones. Therefore, any patient at increased risk of developing a S. pneumoniae infection should be treated with an antibiotic, such as bacitracin, vancomycin, or cefazolin, in addition to a fluoroquinolone. There is a known increased incidence of streptococcal infections in suture abscesses after penetrating keratoplasty and pseudophakic bullous keratopathy. S. pneumoniae is also commonly seen in corneal ulcers related to dacryocystitis and filtering bleb infections. Anaerobic streptococcal infections, such as those causing a crystalline keratopathy, are unlikely to respond to fluoroquinolone monotherapy. Finally, patients with hospital-acquired corneal ulcers, in which there is an increased risk of methicillin-resistant S. aureus, should be treated at least in part with fortified vancomycin drops.

Adverse Effects

The fluoroquinolones have low rates of adverse effects.93 That of ofloxacin (consisting primarily of transient local irritation) is less than 0.6%,38,54–57,94 and there has never been any report of corneal epithelial toxicity with ofloxacin.95 The Ofloxacin Study Group51 noted that fortified antibiotics showed drug toxicity to the ocular surface (defined as punctate corneal staining, papillary conjunctival reaction, or conjunctival fluoresecin staining) in 50.8% of patients receiving combination therapy versus only 10.2% of ofloxacin-treated patients.

As with ofloxacin, fewer patients treated with ciprofloxacin than treated with fortified antibiotics, reported ocular discomfort.39 The most commonly reported adverse effect from topical ciprofloxacin treatment is the formation of a white crystalline precipitate in approximately 17% of treated eyes.39,63–65 This results from precipitation of the drug (formulated at pH 4.5), which is poorly soluble at the near-neutral pH of the tear film. The relationship between this precipitate and antibacterial efficacy is unknown. The precipitate resolves spontaneously without sequelae after cessation of the medication. A few patients may also experience some local burning or irritation. There have been a few case reports of corneal precipitates with norfloxacin use in bacterial keratitis,96 but the overall incidence of adverse effects seems to be low.

Like the 0.3% solution, the ciprofloxacin ointment has also been shown to cause a white precipitate that resolves spontaneously without sequelae after discontinuing it. Other adverse effects from the ointment include burning, puntate epitheliopathy, blurred vision, and tearing.76

EXTEMPORANEOUSLY COMPOUNDED FORTIFIED ANTIBIOTICS

Extemporaneously compounded fortified antibiotic eyedrop preparations contain high concentrations that are usually prepared from products formulated for intravenous use. A typical treatment regimen might consist of a combination of a cephalosporin (e.g., 50 mg/mL cefazolin) for gram-positive bacteria coverage and an aminoglycoside (e.g., 13 mg/mL tobramycin or gentamicin) for gram-negative bacteria coverage. However, these agents are not compatible when combined in the same solution and must be formulated separately and administered from different bottles. Another common extemporaneously fortified antibiotic is vancomycin 50 mg/mL.97 Most need to be refrigerated after dispensing to the patient, because, being derived from intravenous products, they do not contain a preservative. Instillation of the two agents must be separated by intervals of several minutes or more (e.g., 15 minutes might be ideal) to prevent washout of the first agent by the second. The high concentrations used in these preparations exacerbate their epithelial toxic potential. This is a special concern for the aminoglycosides.

In the treatment of bacterial keratitis, fortified cefazolin-aminoglycoside preparations are as effective as the fluoroquinolones ofloxacin and ciprofloxacin, but are more difficult to obtain and use. Not all pharmacies are equipped to formulate extemporaneously compounded agents and not all pharmacists are familiar with the procedures.

There has been some debate in the literature as to the efficacy of using a collagen shield as a vehicle to absorb and deliver drugs. Advocates argue that collagen shields soak up antibiotics and continuously deliver them to the cornea for several hours, enabling higher concentrations to be delivered for longer periods of time. However, some studies have found that collagen shields are not more efficacious than using fortified antibiotics alone.98,99 According to several other studies, collagen shields are labor intensive yet as effective in treating bacterial keratitis, as frequent dosages of drops.100–104

AMINOGLYCOSIDES

Chemistry, Ophthalmic Preparation, and Pharmacologic Action

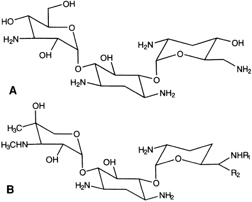
The two most commonly used aminoglycosides are tobramycin sulfate available as a 0.3% solution or ointment (AKTOB [Acorn, Inc, Buffalo Grove, IL], Defy, Tobrex [Alcon Laboratories, Fort Worth, TX]) and gentamicin sulfate (Fig. 2) available as a 0.3% solution (Garamycin, Genoptic [Allergan, Inc, Irvine, CA], Gentacidin, Gentak [Akorn, Inc, Buffalo Grove, IL], Ocu-mycin) and ointment (Garamycin, Genoptic). Neomycin [Bausch & Lomb Pharmaceutical, Inc, Tampa, FL] is also used, but is only available as a component of combination products, not as a single agent. The basic structure of aminoglycosides consists of two or more amino sugars connected by glycosidic bonds to a hexose nucleus. The individual characteristics of an aminoglycoside are determined by differences in the amino sugars attached to the nucleus.

Fig. 2. The aminoglycosides, with some of the more commonly used ophthalmic formulations pictured, tobramycin (A), and gentamicin (B), which contain the characteristic two or more amino sugars connected by glycosidic bonds to a hexose nucleus.

The aminoglycosides cause bacterial cell death by irreversibly binding to 30S ribosomes and causing misreading of the genetic code and decreased or abnormal protein synthesis.105 Aminoglycosides are valued in the treatment of external ocular infections because they are active against aerobic gram-negative organisms, including Pseudomonas species, Proteus species, Klebsiella species, Escherichia coli, Salmonella species, Shigella species, S. marcescens, Haemophilus species and many gram-positive staphylococci.106 In vitro, tobramycin is three times as effective as gentamicin against Pseudomonas.107 The aminoglycosides have limited use as broad-spectrum agents because of resistance caused by aminoglycoside-modifying enzymes. This occurs at an unacceptably high frequency (29%–41%).108 Of particular concern is their lack of relative efficacy against S. epidermidis and S. pneumoniae.

Clinical Experience and Ophthalmic Uses

Gentamicin and tobramycin have been shown to be effective in the treatment of conjunctivitis, blepharoconjunctivitis, and bacterial keratitis.105,109–111 The commercially available concentrations are acceptable for the treatment of bacterial conjunctivitis, but the highly concentrated, fortified preparations are preferred for bacterial keratitis and are best used in conjunction with an antibiotic more active against gram-positive bacteria.

Adverse Effects

Gentamicin and tobramycin have been shown to be safe, but tobramycin may have fewer adverse effects.112 The most significant safety concern with aminoglycosides is corneal epithelial toxicity.108,113,114 This is especially so for neomycin and gentamicin.113 Lass et al. evaluated the concentration-dependent toxicities of neomycin, amikacin, gentamicin, and tobramycin using a rabbit epithelial cell culture model.113 Subfortified concentrations of neomycin and gentamicin significantly inhibited epithelial cell metabolism after 5 minutes of exposure; all the aminoglycosides significantly inhibited cell metabolism at all tested concentrations after 30 and 60 minutes of exposure. Fortified doses may cause a reversible punctate epithelial keratitis or pseudomembranous conjunctivitis.115,116 Several cases of conjunctival defects or necrosis have been reported with the use of fortified gentamicin,114,117 and at least one case of conjunctival necrosis has been attributed to fortified tobramycin use.114 Two cases of pseudomembranous conjunctivitis secondary to topical gentamicin have been reported: one case after use of commercial-strength gentamicin and one in response to fortified 1.36% gentamicin.118 Neomycin has a high rate of associated allergic reactions; in one study, 18.5% of 27 patients with chronic conjunctivitis had patch test sensitivity to neomycin.119 Other neomycin toxic manifestations are conjunctivitis, eyelid edema, punctate corneal erosions, and in high concentrations, reduced corneal sensation.120

BACITRACIN

Chemistry, Ophthalmic Preparation, and Pharmacologic Action

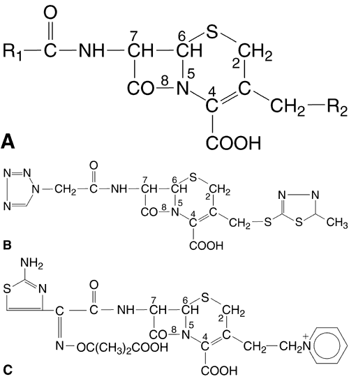
Bacitracin is a polypeptide antibiotic that contains a thiazolidine ring structure (Fig. 3). Bacitracin is bactericidal by binding to cell membranes121 and is commercially produced as a topical ophthalmic ointment (AK-Tracin, Akorn, Inc, Buffalo Grove, IL) or in combination with polymyxin B (AK-poly-bac [Akorn, Inc, Buffalo Grove, IL], Polysporin, Polytracin [Medical Ophthalmics, Tarpon Springs, FL]) or with polymyxin B and neomycin (AK-Spore [Akorn, Inc, Buffalo Grove, IL], Neosporin [Monarch Pharmaceuticals, Bristol, TN], Ocu-spor B). All these preparations contain bacitracin in a concentration of 500 U per gram of ointment. Unlike most of the other antibacterial agents discussed in this chapter, bacitracin is only available for topical use because of its systemic toxicity and poor solubility.

Fig. 3. Structural formula of bacitracin, the polypeptide antibiotic that contains a thiazolidine ring.

Clinical Experience and Ophthalmic Uses

Bacitracin is efficacious against most gram-positive organisms and select gram-negative organisms, including penicillinase-producing staphylococci, Neisseria species, Haemophilus species, and Actinomyces species. Bacitracin penetrates an intact cornea poorly, but its penetration may be increased by a corneal epithelial defect.122

Adverse Effects

Commercially available preparations and fortified dosages of bacitracin generally do not irritate the ocular surfaces. Hypersensitivity reactions, namely skin eruptions, have been reported. There is one report of an acute anaphylactic reaction associated with topical application of bacitracin.123

BETA-LACTAM ANTIBIOTICS

Chemistry, Ophthalmic Preparation, and Pharmacologic Action

This class of antibiotics includes the penicillins and cephalosporins. Penicillins (Fig. 4) are composed of a thiazolidine ring connected to a beta-lactam ring to which a side chain is connected. The side chain is responsible for the individual characteristics of the penicillins. Like the penicillins, the cephalosporins (Fig. 5) contain a beta-lactam ring, are bactericidal, and inhibit cell wall synthesis. By preventing the synthesis of polysaccharides needed for bacterial cell wall structure, they cause bacterial death. They tend to be more active against gram-positive organisms, with increased gram-negative activity in the extended-spectrum penicillins and the second- and third-generation cephalosporins. Bacteria become resistant to penicillins by producing beta-lactamase; cephalosporins tend to be resistant to degradation by beta-lactamase. All methicillin-resistant S. aureus and enterococci are also resistant to cephalosporins. Approximately 10% of patients allergic to penicillin will also be allergic to cephalosporins.

Fig. 4. Chemical formulas of the penicillin agents, which contain beta-lactam rings attached to thiazolidine rings (e.g., penicillin [A] and methicillin [B]).

Fig. 5. Illustrations of the cephalosporins, which contain modifications to positions of the beta-lactam ring of cephalosporin (A), to create cefazolin (B), and ceftazidime (C).

Clinical Experience and Ophthalmic Uses

The beta-lactam antibiotics are not available in pharmaceutically manufactured topical ophthalmic preparations because of their poor stability. The most commonly used topical agent in this class is a first-generation cephalosporin, cefazolin 50 mg/mL, and is made from a parenteral preparation. As mentioned, cefazolin is used with a topical aminoglycoside in the treatment of bacterial keratitis. However, ceftazidime alone or in combination with an aminoglycoside or vancomycin has also been explored as an initial agent for topical therapy of bacterial keratitis.124 A third-generation cephalosporin, ceftazidime, was found to be as effective as cefazolin in treating rabbit corneal ulcers caused by S. aureus and S. pneumoniae and as effective as tobramycin against P. aeruginosa.125,126

The cefazolin-aminoglycoside combination has been proven to be equivalent to monotherapy with ofloxacin and ciprofloxacin in bacterial keratitis. Topical cefazolin may also have an important role in combination with fluoroquinolones. Bower and coworkers127 have predicted that 98.7% of their laboratory's ocular bacterial isolates would be susceptible to a fluoroquinolone-cefazolin combination versus 88.2%, 82.3%, and 80.4%, respectively, with ofloxacin, ciprofloxacin, and norfloxacin. Thus, in severe cases of bacterial keratitis, cefazolin may be a desirable addition to fluoroquinolone therapy while culture results are pending and may supplant the need for fortified aminoglycosides.128

Adverse Effects

The most common adverse effects are allergic reactions to the penicillins with some cross-allergenicity with the cephalosporins. Topical penicillin can result in anaphylaxis, and less significantly, there is a high incidence of contact allergic blepharitis.129 The cephalosporins have relatively few side effects,129 and approximately only 5% of patients manifest allergic reactions.

CHLORAMPHENICOL

Chemistry, Ophthalmic Preparation, and Pharmacologic Action

Chloramphenicol, a nitrobenzene derivative (Fig. 6), available as a 1% ointment or a 0.5% solution (AK-Chlor, Chlormycetin [Monarch Pharmaceuticals, Bristol, TN], Chloroptic [Allergan, Inc, Irvine, CA], Ocu-Chlor), was the first broad-spectrum antibiotic with gram-positive and gram-negative coverage. It has been widely used in ointment form for the treatment of external ocular infection.130

Fig. 6. Structure of chloramphenicol, a derivative of nitrobenzene.

Chloramphenicol inhibits bacterial protein synthesis by binding to the 50S ribosomal subunit. It is primarily bacteriostatic but may be bactericidal to some organisms (e.g., H. influenzae).

Clinical Experience and Ophthalmic Uses

Chloramphenicol has good antimicrobial activity against most gram-positive ocular isolates and limited gram-negative coverage. Chloramphenicol should not be used to treat infections in which gram-negative bacteria, especially Pseudomonas or Serratia species131 are suspected. Because it is usually bacteriostatic, not bacteriocidal, and because of its limited spectrum, chloramphenicol should not be used in vision-threatening circumstances.

In some studies, chloramphenicol has been shown to be as effective as ciprofloxacin, norfloxacin, and trimethoprim-polymyxin B in the treatment of bacterial conjunctivitis.79,132,133

Adverse Effects

Much has been written about a possible link between topical ophthalmic use of chloramphenicol and aplastic anemia. Oral chloramphenicol can affect the bone marrow in two ways; one is a dose-related, reversible bone marrow suppression and the other is an idiopathic, usually lethal effect. Topical chloramphenicol has been associated with dose-related and idiopathic bone marrow suppressions.134–140 Chloramphenicol should best not be used in patients who have a family history of drug-related bone-marrow failure.141,142 Concern about the risk of aplastic anemia and the development of more effective antibiotics have been sufficient to drastically reduce the use of chloramphenicol in the United States, although it is still widely used in other countries.

Burning may occur with topical instillation of chloramphenicol, but it is relatively nonirritating to ocular structures and allergic reactions are uncommon.

ERYTHROMYCIN

Chemistry, Ophthalmic Preparation, and Pharmacologic Action

Erythromycin 0.5% is a macrolide antibiotic (Fig. 7) that inhibits bacterial protein synthesis by irreversibly binding to the 50S ribosomal subunit.143 It is bacteriostatic in low concentrations but can be bactericidal in high concentrations. Other determinants of its bactericidal activity include organism susceptibility, growth rate of the bacteria, and pH.144 Erythromycin is available in ointment form (0.5%) for topical ophthalmic use (Ak-mycin, Ilotycin).

Fig. 7. Chemical structure of the macrolide antibiotic, erythromycin.

Clinical Experience and Ophthalmic Uses

Erythromycin is used as prophylaxis against neo-natal conjunctivitis caused by C. trachomatis andN. gonorrhoeae. It is also used to treat mild bacterial conjunctivitis. It has a broad spectrum of antibacterial activity145 and is well tolerated by the ocular surface, but many resistant strains have developed. For example, several strains of H. influenzae, one of the most common pathogens in pediatric conjunctivitis, are resistant to erythromycin. Therefore, its usefulness in the treatment of external ocular infections is limited.

Adverse Effects

Topical application of erythromycin is not usually irritating to ocular tissues.

POLYMYXIN AND COMBINATION PRODUCTS

Chemistry, Ophthalmic Preparation, and Pharmacologic Action

Many of the combination products currently available in the United States contain polymyxin B sulfate (Fig. 8). It provides efficacy against commonly encountered gram-negative pathogens such asH. influenzae. Polymyxin is a bactericidal polypeptide antibiotic that interferes with cell wall synthesis and forms false pores in bacterial cell membranes. It is less effective against Proteus, Providencia, Serratia, and Brucella species. It came into use in ophthalmology in the 1950s, when it was shown that polymyxin was effective in treating Pseudomonas corneal ulcers in rabbits.146 The effectiveness of this agent was then shown in treating human corneal ulcers infected with Pseudomonas species.147,148

Fig. 8. Polymyxin B sulfate, a polypeptide antibiotic, which is the most common polymyxin in clinical use.

Combinations of polymyxin B with neomycin and gramicidin or trimethoprim are available as solutions, and combinations with bacitracin, neomycin, and bacitracin, or oxytetracycline are available as ointments only. The ointments contain 10,000 U per gram of polymyxin B.

Two antibiotics commonly combined with poly-myxin are gramicidin and trimethoprim. Gramicidin alters bacterial cell wall permeability. Like bacitracin, it is only used topically because of systemic toxicity. Trimethoprim is a competitive inhibitor of bacterial dihydrofolate reductase, an enzyme that is necessary for purine synthesis.149 The other compounds that polymyxin B are combined with are addressed elsewhere in this chapter.

Clinical Experience and Ophthalmic Uses

All polymyxin combination products have shown efficacy against bacterial conjunctivitis,150,151 but no clinical studies of their use in the treatment of bacterial keratitis have been conducted. Clinical studies have shown that polymyxin B-trimethoprim andpolymyxin B-neomycin-gramicidin are as effectiveas each other152–153 and gentamicin sulfate,154 sodium sulfacetamide,154 and chloramphenicol138,150 in the treatment of bacterial conjunctivitis.

Adverse Effects

Those combination antibiotic products that do not contain the highly allergenic agent neomycin are commonly recommended in the literature.4,149,150 Polymyxin B rarely causes a hypersensitivity reaction. Chronic use of polymyxin B may result in toxic conjunctivitis.

SULFACETAMIDE

Chemistry, Ophthalmic Preparation, and Pharmacologic Action

Sulfacetamide (Fig. 9) 10% ointment (AK-Sulf, Cetamide, Sulamyd Sodium) and sulfacetamide 10% to 30% solutions (10% AK Sulf [Akorn, Inc, Buffalo Grove, IL], Bleph-10 [Allergan, Inc, Irvine, CA], Ophthacet, Ocusulf, Sulf-10 [CIBA Vision, Duluth, GA], Sulamyd Sodium, and Isopto Cetamide) act by preventing the incorporation of para-aminobenzoic acid into folic acid, thus inhibiting bacterial purine biosynthesis. Sulphonamides are bacteriostatic.

Fig. 9. Chemical structure of sulfacetamide one of the more commonly used sulfonamides in ophthalmic preparations.

Clinical Experience and Ophthalmic Uses

Sulphonamides were used in the treatment of external ocular infections before the need to perform efficacy studies. It is difficult to find documentation of their value in the medical literature. In a study of 158 cases of culture-positive pediatric conjunctivitis, topical sulfacetamide was found to be equivalent in efficacy to trimethoprim-polymyxin B and gentamicin sulfate solutions.154 Like erythromycin, sulfacetamides have a broad spectrum of antibacterial activity, but many strains of resistant bacteria have developed. Sulfacetamide is still effective against H. influenzae but is ineffective against many staphylococcal isolates, S. marcescens, and P. aeruginosa, which makes it a poor choice as a first-line treatment for bacterial keratitis.155 It remains a drug of choice for the treatment of Nocardia species.156

Adverse Effects

Topical sulfacetamide is generally well tolerated. However, there is a small but significant risk of Stevens-Johnson syndrome associated with the use of topical sulfacetamide.157–159

TETRACYCLINES

Chemistry, Ophthalmic Preparation, and Pharmacologic Action

Tetracycline (Fig. 10) inhibits bacterial protein synthesis by binding to the 30S ribosome, and it is among the broadest spectrum agents available. For most organisms, tetracycline is bacteriostatic.

Fig. 10. The basis of the tetracyclines, shown above, is a four-ring naphthacencecarboxamide.

Clinical Experience and Ophthalmic Uses

Systemic and topical (ointment) tetracycline are used concurrently to treat C. trachomatis conjunctivitis. Tetracycline can also be used for prophylaxis against ophthalmia neonatorum from N. gonorrhoeae or chlamydial infections.160,161 In newborns developing ophthalmia neonatorum, coexisting oropharyngeal involvement usually requires more than topical drug use.

Adverse Effects

Adverse reactions from tetracyclines, including deposition in the teeth and bones, may be seen with both systemic use and topical application.

VANCOMYCIN

Chemistry, Ophthalmic Preparation, and Pharmacologic Action

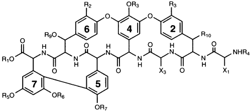
Vancomycin is a complex bactericidal tricyclic glycopeptide (Fig. 11) that inhibits bacterial cell wall synthesis.162,163 It is active primarily against gram-positive bacteria, including methicillin-resistant S. aureus, S. epidermidis, and Enterococcus species.

Fig. 11. Vancomycin is a complex bactericidal tricyclic glycopeptide.

Clinical Experience and Ophthalmic Uses

Topical vancomycin has been used successfully to treat chronic methicillin-resistant S. aureus in institutionalized patients.164 Vancomycin has not been tested against other antibiotics in the treatment of bacterial keratitis, but there are numerous reported cases of keratitis caused by resistant organisms that resolved with topical vancomycin therapy.165,166 Vancomycin 50 mg/mL has been tested against ciprofloxacin 0.3% in a rabbit model of methicillin-resistant S. aureus keratitis; ciprofloxacin was found to be more effective in that study.167 These results have not been verified in clinical studies. Vancomycin should be considered as a first-line therapy in severe cases of keratitis in patients at high risk for infection by methicillin-resistant organisms, such as healthcare workers or institutionalized patients.

Adverse Effects

Vancomycin is rarely used in routine ocular infections because it is not commercially available in a topical ophthalmic form. Its use should be limited because of the risk of the development of bacterial resistance. Topical application of vancomycin produces discomfort because of its low pH in solution. Adverse effects include conjunctival injection, chemosis, papillary conjunctivitis, and superficial punctate keratopathy. In rabbits, topical application was noted to retard corneal epithelial wound healing.168

SELECTING THE OPTIMAL OPHTHALMIC ANTIBIOTIC

The Goals of Treatment

In all bacterial infections, the goal of treatment is to rapidly eradicate the specific pathogen while minimizing adverse side effects and treatment costs. An ideal agent does not exist and the choice of the most appropriate agent must be based on a rational compromise. The nature of this compromise must be patient- and disease-specific.

CLINICAL JUDGMENT IN CHOOSING AN OPHTHALMIC ANTIBIOTIC

In uncomplicated acute bacterial conjunctivitis, the need for treatment efficacy, though still important to limit the rate of recurrence and spread to personal contacts, must be balanced by a strong assurance of treatment safety and comfort, particularly in children, and a reasonable concern for treatment cost. A further consideration is to limit the use of antibiotics needed for systemic infections so that widespread resistance does not occur. The preparation chosen is usually commercially available in a topical ophthalmic form and has a broad spectrum of efficacy against the most commonly implicated pathogens. The ophthalmologist and the patient can usually rest assured that they are dealing with a self-limited and usually benign process. In the treatment of acute bacterial conjunctivitis, no safety risks can be justified, and agents with known toxicity or a high incidence of hypersensitivity reactions should not be considered. However, in chronic or recurrent bacterial conjunctivitis, the ideal agent is the most effective broad-spectrum antibiotic available that the patient will tolerate, unless antibiotic susceptibility testing suggests that a specific narrow-spectrum agent may be more effective.

The sight-threatening nature of bacterial keratitis means that treatment speed and efficacy must take on more importance. Guidance in the choice of an antibiotic by knowing the specific organism and its sensitivity can be crucial to the outcome. The cost of treatment should only be taken into account if two or more treatment options are equal in efficacy and safety.153

BACTERIAL CONJUNCTIVITIS

Common Prescribing Practices

Physicians vary widely in their prescribing practices. Most cases of acute bacterial conjunctivitis are treated by nonophthalmologist physicians. Identification of the causative organism (e.g., by gram stain or culture) is rare. The use of a mild, broad-spectrum antibiotic preparation, such as one of the polymyxin B combination products (e.g., polymixin B-trimethoprim or polymixin B-zinc bacitracin) can be recommended. Sodium sulfacetamide is also commonly used, despite its bacteriostatic nature and limited spectrum because of its low cost and long clinical history. The use of chloramphenicol, because of the fear of aplastic anemia, and the use of neomycin, because of its relatively high rate of allergic reactions, are on the decline. Erythromycin cannot be recommended because of its lack of broad spectrum and the emergence of resistant H. influenzae. In more serious cases, a fluoroquinolone may be indicated because of its broad spectrum and efficacy against H. influenzae, as mentioned earlier, a common pathogen in pediatric conjunctivitis.

When bacterial conjunctivitis becomes chronic or recurrent culturing and sensitivity of the causative agent is recommended. In such cases, more aggressive treatment with a topical fluoroquinolone is recommended. Of the fluoroquinolones, ofloxacin followed by ciprofloxacin has the best coverage, and the lowest incidence of resistance. Their excellent tissue penetration capabilities will allow them to eradicate any bacteria that have breached the corneal epithelium and may also help reduce self-reinfection from pathogens sequestered in the meibomian orifices or lacrimal canaliculi.

BACTERIAL KERATITIS

Common Prescribing Practices

The medical literature documents the value of fortified antibiotics and the commercially available topical fluoroquinolone preparations in the treatment of bacterial keratitis. In a 1996 survey of 124 ophthalmologists from Florida, New York, and Illinois,169 82% reported that they would use a fluoroquinolone for initial treatment of less severe corneal ulcers, and 6% said that they would use fortified antibiotics. For more severe ulcers, prescribing practices shifted slightly toward fortified antibiotics, with 62% reporting that they would use fluoroquinolones for these cases and 23% stating that they would use fortified antibiotics. One common combination of extemporaneously compounded fortified antibiotics is cefazolin 10% and tobramycin 1.5% administered as separate solutions. Vancomycin 50 mg/mL should be substituted for cefazolin for those cases in which antibiotic susceptibility testing suggests that it will be the most effective agent or there is a significant risk of methicillin-resistant S. aureus. In vitro susceptibility testing has shown that the use of a fluoroquinolone in combination with fortified cefazolin is effective against more ocular isolates than ofloxacin, ciprofloxacin, or norfloxacin used alone. Therefore, fortified tobramycin may be replaced with commercially available ofloxacin or ciprofloxacin.127 It is not known whether the precipitation of ciprofloxacin has any detrimental effect on efficacy. Norfloxacin is the least effective of the available fluoroquinolones and has not been shown effective in the treatment of bacterial keratitis.

Back to Top
REFERENCES

1. Mannis MJ, Plotnik RD: Bacterial conjunctivitis. In: Tasman W, Jaeger EA, eds. Duane's Foundations of Clinical Ophthalmology, vol 4. Philadelphia, Lippincott Williams & Wilkins, 1998.

2. Foulks G: Bacterial infections of the conjunctiva and cornea. In: Albert DM, Jakobiec FA, eds. Principles and Practice of Ophthalmology. Philadelphia, WB Saunders, 1994:162–171.

3. Limberg MB: Review of bacterial keratitis and bacterial conjunctivitis. Am J Ophthalmol 112:2S, 1991.

4. Lohr JA: Treatment of conjunctivitis in infants and children. Pediatric Annals 22:11, 1993.

5. Gigliotti F, Williams WT, Hayden FG et al: Etiology of acute conjunctivitis in children. J Pediatr 98:531, 1981.

6. Seal DDV, Barratt SP, McGill JI: Aetiology and treatment of acute bacterial infection of the external eye. Br J Ophthalmol 66:357, 1982.

7. Liesegang TJ: Bacterial keratitis. Inf Disease Clin N Am 6:815, 1992.

8. Pepose JS, Wilhelmus KR: Divergent approaches to the management of corneal ulcers. Am J Ophthalmol 114:630, 1992.

9. Erie JC, Nevitt MP, Hodge DO, Ballard DJ: Incidence of ulcerative keratitis in a defined population from 1950 through 1988. Arch Ophthalmol 111:1665, 1993.

10. Upadhyay NP, Karmacharya PCD, Koirala AS et al: Epidemiologic characteristics, pre-disposing factors, and etiologic diagnosis of corneal ulceration in Nepal. Am J Ophthalmol 111:92, 1991.

11. Ormerod LD: Causation and management of microbial keratitis in subtropical Africa. Ophthalmology 94:1662, 1987.

12. Mahajan VM: Ulcerative keratitis: an analysis of laboratory data in 674 cases. J Ocul Ther Surg 4:138, 1985.

13. Musch DC, Sugar A, Meyer RF: Demographic and pre-disposing factors in corneal ulceration. Arch Ophthalmol 101:1545, 1983.

14. Jones DB: Strategy for the initial management of suspected microbial keratitis. New Orleans Academy of Ophthalmology Symposium on Medical and Surical Diseases of the Cornea. St. Louis, CV Mosby, 1980:86.

15. Lass JF, Haaf J, Foster CS, Belcher C: Visual outcome in eight cases of Serratia marcescens keratitis. Am J Ophthalmol 92:384, 1981.

16. Okumoto M: Enterobacteriaceae. In: Tasman W, Jaeger EA, eds. Duane's Foundations of Clinical Ophthalmology, vol 2. Philadelphia: JB Lippincott, 1990.

17. Gudmundsson OG, Ormerod LD, Kenyon KR et al: Factors influencing predilection and outcome of bacterial keratitis. Cornea 8:115, 1989.

18. Donnenfeld ED, O'Brien TP, Perry HD et al: Bacterial keratitis following photorefractive keratectomy (PRK). American Academy of Ophthalmology Final Program, 103:195, 1999.

19. Koidou-Tsiligianni A, Alfonso E, Foster RK: Ulcerative keratitis associated with contact lens wear. Am J Ophthalmol 108:64, 1989.

20. Adams CP, Cohen EJ, Laibson PR et al: Corneal ulcers in patients with cosmetic extended-wear contact lenses. Am J Ophthalmol 96:705, 1983.

21. Weissman BA, Mondino BJ, Pettit TH, Hofbauer JD: Corneal ulcers associated with extended-wear soft contact lenses. Am J Ophthalmol 97:476, 1984.

22. Hassman G, Sugar J: Pseudomonas corneal ulcer with extended-wear soft contact lenses for myopia. Arch Ophthalmol 101:1549, 1983.

23. Lemp MA, Blackman HJ, Wilson LA, Leveille AS: Gram-negative corneal ulcers in elderly aphakic eyes with extended-wear lenses. Ophthalmology 90:60, 1984.

24. Galantine PG, Cohen EJ, Laibson PR et al: Corneal ulcers associated with contact lens wear. Arch Ophthalmol 102:891, 1984.

25. Schein OD, Ormerod LD, Barraquer E et al: Microbiology of contact lens-related keratitis. Cornea 8:281, 1989.

26. Cohen EJ, Laibson PR, Arentsen JJ et al: Corneal ulcers associated with cosmetic extended wear soft contact lenses. Ophthalmology 19:109, 1987.

27. Stein RM, Clinch TE, Cohen EJ et al: Infected versus sterile corneal infiltrates in contact lens wear. Am J Ophthalmol 105:632, 1988.

28. Liesegang TJ, Foster RF: acterial microbial keratitis in South Florida. Am J Ophthalmol 90:38, 1980.

29. Ostler HB, Okumoto M, Wilkey C: The changing pattern of the etiology of central bacterial corneal (hypopyon) ulcer. Trans Pac Coast Otoophthalmol Soc 57:235, 1976.

30. Cruz DA, Sabir SM, Capo H, Alfonso EG: Microbial keratitis in childhood. Ophthalmology 100:192, 1993.

31. Ormerod LD, Gomez DS, Murphee AL et al: Microbial keratitis in children. Ophthalmology 93:449, 1986.

32. Baum JL, Jones DB: Initial therapy of suspected microbial corneal ulcers. I: Broad antibiotic therapy based on prevalence of organisms, II: Specific antibiotic therapy based on corneal smears. Surv Ophthalmol 24:97, 1979.

33. Baum J: Therapy for ocular bacterial infection. Trans Ophthalmol Soc UK 105:69, 1986.

34. Jones DB: Decision-making in management of microbial keratitis. Ophthalmology 88:814, 1981.

35. McDonnell PJ, Nobe J, Gauderman WJ et al: Community care of corneal ulcers. Am J Ophthalmol 114:531, 1992.

36. Wilhelmus KR: Bacterial corneal ulcers. Int Ophthalmol Clin 24:1, 1984.

37. Baum JL, Barza M, Weinstein L: Preferred routes of antibiotic administration in treatment of bacterial ulcers of the cornea. Int Ophthalmol Clin 13:31, 1973.

38. O'Brien TP, Maguire MG, Fink NE et al: Efficacy of ofloxacin vs cefazolin and tobramycin in the therapy for bacterial keratitis. Arch Ophthalmol 113:1257, 1995.

39. Hyndiuk RA, Eiferman RA, Caldwell DR et al: Comparison of ciprofloxacin ophthalmic solution 0.3% to fortified tobramycin-cefazolin in treating bacterial corneal ulcers. Ciprofloxacin Bacterial Keratitis Study Group. Ophthalmology 103:1854, 1996.

40. Shell JW: Pharmacokinetics of topically applied ophthalmic drugs. Surv Ophthalmol 26:207, 1982.

41. Lesar TS, Fiscella RG: Antimicrobial drug delivery to the eye. Drug Intell Clin Pharm 19:642, 1985.

42. Barza M: Antibacterial agents in the treatment of ocular infections. Infect Dis Clin North Am 3:53, 1989.

43. Groden LR, Brinser JH: Outpatient treatment of microbial corneal ulcers. Arch Ophthalmol 104:84, 1986.

44. Kupferman A, Leibowitz HM: Topical antibiotic therapy of Pseudomonas aeruginosa keratitis. Arch Ophthalmol 97:1699, 1979.

45. Davis SD, Sarff LD, Hyndiuk RA: Topical tobramycin therapy of experimental Pseudomonas keratitis: an evaluation of some factors that potentially enhance efficacy. Arch Ophthalmol 96:123, 1978.

46. Lesher GY, Froelich ED, Gruet MD et al: 1,8 Naphthyridine derivatives. A new class of chemotherapeutic agents. J Med Pharm Chem 5:1063, 1962.

47. Smith JT: The mode of action of 4-quinolones and possible mechanisms of resistance. J Antimicrob Chemother 18:21,1986.

48. Wolfson JS, Hooper DC: The fluoroquinolones: structures, mechanisms of action and resistance, and spectra of activity in vitro. Antimicrob Agents Chemother 28:581, 1985.

49. Herrin S: How to handle bacterial resistance. Rev Ophthalmol 1:56, 1994.

50. Snyder ME, Katz HR: Ciprofloxacin-resistant bacterial keratitis. Am J Ophthalmol 114:336, 1992.

51. The Ofloxacin Study Group: Ofloxacin monotherapy for the primary treatment of microbial keratitis. A double-masked randomized, controlled trial with conventional dual therapy. Ophthalmology 104:1902, 1997.

52. Gritz DC, McDonnell PJ, Lee TY: Topical ofloxacin in the treatment of Pseudomonas keratitis in a rabbit model. Cornea 11:143, 1992.

53. Jones RN, Reller LB, Rosati LA et al: Ofloxacin, a new broad-spectrum fluoroquinolone. Results from a multicenter, national comparative activity surveillance study. The Ofloxacin Surveillance Group. Diagn Microbiol Infect Dis 15:425, 1992.

54. Gwon A: Topical ofloxacin compared with gentamicin in the treatment of external ocular infection. Ofloxacin Study Group. Br J Ophthalmol 12:714, 1992.

55. Gwon A: Ofloxacin vs tobramycin for the treatment of external ocular infection. Ofloxacin Study Group II. Arch Ophthalmol 110:1234, 1992

56. Scuderi A, Franco L, Russo R et al: A clinical study comparing ofloxacin with tobramycin for bacterial conjunctivitis. New Trends Ophthalmol 6:247, 1991.

57. Bron AJ, Leber G, Rizk SNM et al: Ofloxacin compared with chloramphenicol in the management of external ocular infection. Br J Ophthalmol 75:675, 1991.

58. Peterson LR, Cooper I, Willard KE et al: Activity of twenty-one antimicrobial agents including l-ofloxacin against quinolone-sensitive and -resistant, and methicillin-sensitive and -resistant Staphylococcus aureus. Chemotherapy 40:21, 1994.

59. Ross DL, Riley CM: Aqueous solubilities of some variously substituted quinolone antimicrobials. Int J Pharm 63:237, 1990.

60. Donnenfeld ED, Schrier A, Perry HD et al: Penetration of topically applied ciprofloxacin, norfloxacin, and ofloxacin into the aqueous humor. Ophthalmology 101:902, 1994.

61. Price FW, Whitson WE, Gonzales J et al: Corneal tissue levels of topically applied ofloxacin. J Cataract Refract Surg 23:898, 1997.

62. Leibowitz HM: Antibacterial effectiveness of ciprofloxacin 0.3% ophthalmic solution in the treatment of bacterial conjunctivitis. Am J Ophthalmol 112:29S, 1991.

63. Gross RD, Hoffman RO, Lindsay RN: A comparison of ciprofloxacin and tobramycin in bacterial conjunctivitis in children. Clin Pediatr 36:435, 1997.

64. Adenis JP, Brasseur G, Demailly P et al: Comparative evaluation of efficacy and safety of ciprofloxacin and norfloxacin ophthalmic solutions. Eur J Ophthalmol 6:287, 1996.

65. Adenis JP, Colin J, Verin P, Riss I, Saint-Blancat P: Ciprofloxacin ophthalmic solution in the treatment of conjunctivitis and blepharitis: a comparison with fusidic acid. Eur J Ophthalmol 6:368, 1996.

66. Cokington CD, Hyndiuk RA. Insights from experimental data on ciprofloxacin in the treatment of bacterial keratitis and ocular infections. Am J Ophthalmol 112:25S, 1991.

67. Callegan MC, Hobden JA, Hill JM et al: Topical antibiotic therapy for the treatmet of experimental Staphylococcus aureus keratitis. Invest Ophthalmol Vis Sci 33:3017, 1992.

68. Parks DJ, Abrams DA, Sarfarazi FA, Katz HR: Comparison of topical ciprofloxacin to conventional antibiotic therapy in the treatment of ulcerative keratitis. Am J Ophthalmol 115:471, 1993.

69. Leibowitz HM: Clinical evaluation of ciprofloxacin 0.3% ophthalmic solution for treatment of bacterial keratitis. Am J Ophthalmol 112:34S, 1991.

70. Lauffenburger MD, Cohen KL: Topical ciprofloxacin versus fortified antibiotics in rabbit models of Staphylococcus and Pseudomonas keratitis. Cornea 12:517, 1993.

71. McDermott ML, Tran TD, Cowden JW, Bugge CJL: Corneal stromal penetration of topical ciprofloxacin in humans. Ophthalmology 100:197, 1993.

72. Pendelton KM, Hobden JA, Hill JM et al: Antibacterial activity of ciprofloxacin against organisms isolated from patients with bacterial keratitis [abstract]. Invest Ophthalmol Vis Sci 32:S1171, 1991.

73. Abrams DA, Sarfarazi FA, Parks DJ, Katz HR: Topical ciprofloxacin versus conventional antibiotic therapy in the treatment of ulcerative keratitis [abstract]. Invest Ophthalmol Vis Sci 32:S1171, 1991.

74. Reidy JJ, Hobden JA, Hill JM et al: The efficacy of topical ciprofloxacin and norfloxacin in the treatment of experimental pseudomonas keratitis. Cornea 10:25, 1991.

75. Knauf HP, Silvany R, Southern PM et al: Susceptibility of corneal and conjunctival pathogens to ciprofloxacin. Cornea 15:66, 1996.

76. Wilhelmus KR, Hyndiuk RA, Caldwell DR et al: 0.3% ciprofloxacin ophthalmic ointment in the treatment of bacterial keratitis. The Ciprofloxacin Ointment/Bacterial Keratitis Study Group. Arch Ophthalmol 111:1210, 1993.

77. King A, Phillips I: The comparative in-vitro activity of eight newer quinolones and nalidixic acid. J Antimicrob Chemother 18(suppl):1, 1986.

78. Heesen FW, Mutyjens HL: In vitro activities of ciprofloxacin, norfloxacin, pipemidic acid, cinoxacin, and nalidixic acid against Chlamyia trachomatis. Antimicrob Agents Chemother 25:123, 1984.

79. Miller IM, Wittreich JM, Cook T, Vogel R: The safety and efficacy of topical norfloxacin compared with chloramphenicol for the treatment of external ocular bacterial infections. The Norfloxacin-Chloramphenicol Ophthalmic Study Group. Eye 6:111, 1992.

80. Vajapayee RB, Gupta SK, Angra SK, Munjal A: Topical norfloxacin therapy in Pseudomonas corneal ulceration. Cornea 10:268, 1991.

81. Jacobson JA, Call NB, Kasworm EM et al: Safety and efficacy of topical norfloxacin versus tobramycin in the treatment of external ocular infections. Antimicrob Agents Chemother 32:1820, 1988.

82. Miller IM, Vogel R, Cook TJ, Wittreich J. Topically administered norfloxacin compared with topically administered gentamicin for the treatment of external ocular bacterial infections. The Worldwide Norfloxacin Ophthalmic Study Group. Am J Ophthalmol 113:638, 1992.

83. Jensen HG, Felix C: In vitro antibiotic susceptibilities of ocular isolates in North and South America. In Vitro Antibiotic Testing Group. Cornea 17:79, 1998.

84. Bower KS, Kowalski RP, Gordon YJ: Possible consequences of shaking hands with your patients with epidemic keratoconjunctivitis. Am J Ophthalmol 121:711, 1996.

85. Cutarelli PE, Kass JH, Lazarus IM et al: Topical fluoroquinolones: antimicrobial activity and in vitro corneal epithelial toxicity. Curr Eye Research 10:557, 1991.

86. Serdarevic ON: Role of the fluoroquinolones in ophthalmology. Int Ophthalmol Clin 33:163, 1993.

87. Abramowicz M (Ed.): Ophthalmic ciprofloxacin. Med Lett Drugs Ther 33:52, 1991.

88. Veights SA, Dick JD, O'Brien TP et al: Comparative in vitro activities of fluoroquinolones vs aminoglycoside against human ocular isolates [abstract]. Invest Ophthalmol Vis Sci 33:S936, 1992.

89. Donnenfeld ED, Perry HW, Snyder RW et al: Intracorneal, aqueous humor, and vitreous humor penetration of topical and oral ofloxacin. Arch Ophthalmol 115:173, 1997.

90. Jackson WB, Kirsch LS, Goldstein DA, Discepola M: A clinical trial of perioperative ofloxacin compared with tobramycin to evaluate external ocular adnexal sterilization and anterior chamber penetration [abstract]. Invest Ophthalmol Vis Sci 34:S858, 1993.

91. Denis A, Moreau NJ: Mechanisms of quinolone resistance in clinical isolates: accumulation of sparfloxacin and of fluoroquinolones of various hydrophobicity, and analysis of membrane composition. J Antimicrob Chemother 32:379, 1993.

92. O'Brien TP, Sawusch MR, Dick JD, Gottsch JD: Topical ciprofloxacin treatment of Pseudomonas keratitis in rabbits. Arch Ophthalmol 106:1444, 1988.

93. Ball AP: Overview of clinical experience with ciprofloxacin. Eur J Clin Microbiol 5:214, 1986.

94. Mitsui Y, Matsuda H, Miyajima T et al: Therapeutic effects of ofloxacin eye drops (DE-055) on external infection of the eye. Multicenter double blind test. Jpn Rev Clin Ophthalmol 80:1813, 1986.

95. Mc Dermott ML, Hazlett LD, Barrett R: The effect of ofloxacin on the human corneal endothelium. Cornea 16:209, 1997.

96. Castillo A, Benitez del Castillo JM, Toledano N et al: Deposits of topical norfloxacin in the treatment of bacterial keratitis. Cornea 16:420, 1997.

97. Fiscella RG: Extemporaneously compounded ophthalmic antibiotic solutions: survey of usage and costs, and pharmacoeconomic considerations. Hospital Pharmacy 32:1240, 1997.

98. Finkelstein I, Trope GE, Menon IA et al: Potential value of collagen shields as subconjunctival depot release system. Curr Eye Res 9:653, 1990.

99. Assil KK, Zarnegar SR, Fouraker BD, Schanzlin DJ: Efficacy of tobramycin-soaked collagen shields vs tobramycin eyedrop loading dose for sustained treatment of experimental Pseudomonas aeruginosa-induced keratitis in rabbits. Am J Ophthalmol 113:418, 1992.

100. Sawusch MR, O'Brien TP, Dick JD, Gottsch JD: Use of collagen corneal shields in the treatment of bacterial keratitis. Am J Ophthalmol 106:27, 1988.

101. Phinney RB Schwartz SD, Lee DA, Mondino BJ: Collagen-shield delivery of gentamicin and vancomycin. Arch Ophthalmol 106:1599, 1988.

102. Friedberg ML, Pleyer U, Mondino BJ: Drug delivery to the eye. Collagen shields, iontophoresis, and pumps. Ophthalmology 98:725, 1991.

103. Hobden JA, Reidy JJ, O'Callaghan RJ et al: Treatment of experimental Pseudomonas keratitis using collagen shields containing tobramycin. Arch Ophthalmol 106:1605, 1988.

104. Hobden JA, Reidy JJ, O'Callaghan et al: Quinolones in collagen shields to treat aminoglycoside-resistant pseudomonal keratitis. Invest Ophthalmol Vis Sci 3:2241, 1990.

105. Edson RS, Terrell CL: The aminoglycosides. Mayo Clin Proc 66:1158, 1991.

106. Leibowitz HM, Hyndiuk RA, Smolin GR et al: Tobramycin in external eye disease: a double-masked study vs. gentamicin. Curr Eye Res 5:259, 1981.

107. Gardner S: Treatment of bacterial keratitis. Ocular Ther Management 3:1, 1990.

108. Wilhelmus KR, Gilbert Ml, Osato MS: Tobramycin in ophthalmology. Surv Ophthalmol 32:111, 1987.

109. Laibson P, Michaud R, Smolin G et al: A clinical comparison of tobramycin and gentamicin sulfate in the treatment of ocular infections. Am J Ophthalmol 92:836, 1981.

110. Stewart RH, Smith RE, Cagle GD et al: Tobramycin in the treatment of external ocular infections. A clinical study. Ocular Ther Surg 1:72, 1982.

111. Timewell RM, Rosenthal AL, Smith JP, Cagle GD: Safety and efficacy of tobramycin and gentamicin sulfate in the treatment of external ocular infections of children. J Pediatr Ophthalmol Strabismus 20:22, 1983.

112. Cagle G, Davis S, Rosenthal A et al: Topical tobramycin and gentamicin sulfate in the treatment of ocular infections: multicenter study. Current Eye Res 1:523, 1982.

113. Lass JH, Mack RJ, Imperia PS et al: An in vitro analysis of aminoglycoside corneal epithelial toxicity. Curr Eye Res 8:299, 1989.

114. Davison CR, Tuft SJ, Dart JK: Conjunctival necrosis after administration of topical fortified aminoglycosides. Am J Ophthalmol 111:690 1991.

115. Petroutsos G, Guimaraes R, Giraud J, Pouliquen Y: Antibiotics and corneal epithelial wound healing. Arch Ophthalmol 101:1775, 1983.

116. Peoutsos G, Guimaraes R, Pouliquen Y: The effect of concentrated antibiotics on the rabbit's corneal epithelium. Int Ophthalmol 7:65, 1984.

117. Nauheim R, Nauheim J: Bulbar conjunctival defects associated with gentamicin. Arch Ophthalmol 105:1321, 1987.

118. Bullard SR, O'Day DM: Pseudomembranous conjunctivitis following topical gentamicin therapy. Arch Ophthalmol 115:1591, 1997.

119. Hatnen A, Terasvirta M, Fraki JE: Contact allergy to components in topical ophthalmologic preparations. Acta Ophthalmol (Copenh) 63:424, 1985.

120. Wilhelmus KR: Antiparasitic drugs in ophthalmology. In: Tasman W, Jaeger EA, eds. Duane's Foundations of Clinical Ophthalmology, vol 2. Philadelphia: Lippincott Williams & Wilkins, 1999.

121. Meleny FL, Johnson BA: Bacitracin. Am J Med 7:794, 1949.

122. Bellows JG, Farmer CJ: Use of bacitracin in ocular infections; tolerance and permeability in rabbit eye. Am J Ophth 31:1070, 1948.

123. Schechter JF, Wilkinson RD, Del Carpio J: Anaphylaxis following the use of bacitracin ointment. Report of a case and review of the literature. Arch Dermatol 120:909, 1984.

124. Jones DB: New horizons in antibacterial antibiotics. Int Ophthalmol Clin 33:179, 1993.

125. Mills RA, Osato MS, Pyron M, Jones DB: Efficacy of topical ceftazidime in experimental bacterial keratitis [abstract]. Invest Ophthalmol Vis Sci 33:S935, 1992.

126. Kremer I, Robinson A, Braffman M et al: The effect of topical ceftazidime on pseudomonas keratitis in rabbits. Cornea 13:360, 1994.

127. Bower KS, Kowalski RP, Gordon YJ: Fluoroquinolones in the treatment of bacterial keratitis. Am J Ophthalmol 121:712, 1996.

128. Noe CA: Penicillin treatment of eyelid infections. Am J Ophth 30:477, 1947.

129. Gustaferro CA, Steckelberg JM: Cephalosporin antimicrobial agents and related compounds. Mayo Clin Proc 66:1064, 1991.

130. Raynr SA, Buckley RJ: Ocular chloramphenicol and aplastic anemia. Is there a link? Drug Saf 14:273, 1996.

131. Jensen HG, Felix C: In vitro antibiotic susceptibilities of ocular isolates in North and South America. In Vitro Antibiotic Testing Group. Cornea 17:79, 1998.

132. Power WJ, Collum LM, Easty DL et al: Evaluation of efficacy and safety of ciprofloxacin ophthalmic solution versus chloramphenicol. Eur J Ophthalmol 3:77, 1993.

133. Behrens-Baumann W, Quentin CD, Gibson JR et al: Trimethoprim-polymyxin B sulfate ophthalmic ointment in the treatment of bacterial keratitis: a double-blind study versus chloramphenicol ophthalmic ointment. Curr Med Res Opin 11:227, 1988.

134. Abrams SM, Degnan TJ, Vinviguerra V: Marrow aplasia following topical application of chloramphenicol eye ointment. Arch Intern Med 140:576, 1980.

135. Carpenter G: Chloramphenicol eye drops and marrow aplasia. Lancet 2:326, 1975.

136. Fraunfelder FT, Bagby GC, Kelly DJ: Fatal aplastic anemia following topical application of ophthalmic chloramphenicol. Am J Ophthalmol 93:356, 1982.

137. Brodsky E, Biger Y, Zeidan Z, Schneider M: Topical application of chloramphenicol eye ointment followed by fatal bone marrow aplasia. Isr J Med Sci 25:5, 1989.

138. Fraunfelder FT, Morgan RL, Yunis AA: Blood dyscrasias and topical ophthalmic chloramphenicol. Am J Ophthalmol 115:812, 1993.

139. Scott JL, Finegold SM, Belkin GA et al: A controlled double-blind study of the hematologic toxicity of chloramphenicol. N Engl J Med 272:1137, 1965.

140. Rosenthal RL, Blackman A: Bone-marrow hypoplasia following use of chloramphenicol eye drops. JAMA 191:136, 1965.

141. Trobe GE, Lawrence JR, Hind VM, Bunney J: Systemic absorption of topically applied chloramphenicol eyedrops. Br J Ophthalmol 163:690, 1970.

142. Apt L, Gaffney WL: Toxic effects of topical eye medication in infants and children. In: Tasman W, Jaeger EA, eds. Duane's Foundations of Clinical Ophthalmology, vol 3. Philadelphia: JB Lippincott, 1990.

143. Mao JC Putterman M, Wiegand RG. Biochemical basis for the selective toxicity of erythromycin. Biochem Pharmacol 19:391, 1970.

144. Sabath LD, Lorian V, Gerstein D et al: Enhancing effect on alkalinization of the medium on the activity of erythromycin against gram-negative bacteria. Appl Microbiol 16:1228, 1968.

145. Washington JA, Wilson WR: Erythromycin: a microbial and clinical perspective after 30 years of clinical use. Mayo Clin Proc 60:271, 1985.

146. Wiggins RL: Experimental studies on eyes with polymyxin B. Am J Ophth 35:83, 1952.

147. Moorman LT: Treatment of pseudomonas corneal ulcers. Arch Ophth 53:345, 1955.

148. McNeel JW, Wood RM, Senterfit LB: Effect of polymyxin B sulfate on Pseudomonas corneal ulcers. Arch Ophthalmol 66:646, 1961.

149. Van Rensburg SF, Gibson JR, Harvey SG, Burke CA: Trimethoprim-polymyxin ophthalmic solution versus chloramphenicol ophthalmic solution in the treatment of bacterial conjunctivitis. Pharmatherapeutica 3:274, 1982.

150. Abramowicz M: Trimethoprim-polymixin B for bacterial conjunctivitis. Med Lett Drugs Ther 32:71, 1990.

151. The Trimethoprim-Polymyxin B Sulphate Ophthalmic Ointment Study Group: Trimethoprim-polymyxin B sulphate ophthalmic ointment versus chloramphenicol ophthalmic ointment in the treatment of bacterial conjunctivitis—a review of four clinical studies. J Antimicrob Chemother 23:261, 1989.

152. Gibson JR: Trimethoprim-polymyxin B ophthalmic solution in the treatment of presumptive bacterial conjunctivitis—a multicenter trial of its efficacy versus neomycin-polymyxin B-gramicidin and chloramphenicol ophthalmic solutions. J Antimicrob Chemother 11:217, 1983.

153. Genee E, Schlectweg C, Bauerreiss P, Gibson JR: Trimethoprim-polymyxin eye drops versus neomycin-polymyxin-gramicidin eye drops in the treatment of presumptive bacterial conjunctivitis—a double-blind study. Ophthalmologica 184:92, 1982.

154. Lohr JA, Austin RD, Grossman M et al: Comparison of three topical antimicrobials for acute bacterial conjunctivitis.Pediatr Infect Dis J 7:626, 1988.

155. Syed NA, Hyndiuk RA: Infectious conjunctivitis. Infect Dis Clin N Am 6:789, 1992.

156. Sridhar MS, Sharma S, Reddy MC et al: Clinicomicrobiological review of Nocardia keratitis. Cornea 17:17, 1998.

157. Genvet GI, Cohen EJ, Donnenfeld ED, Blecher MH: Erythema multiforme after use of topical sulfacetamide. Am J Ophthalmol 99:465, 1985.

158. Rubin Z: Ophthalmic sulfonamide-induced Stevens-Johnson syndrome. Arch Dermatol 113:235, 1977.

159. Gottschalk HR, Stone OJ: Stevens-Johnson syndrome from ophthalmic sulfonamide. Arch Dermatol 112:513, 1976.

160. American Academy of Pediatrics Committee: Prophylaxis and treatment of neonatal gonococcal infections. Pediatrics 65:1047, 1980.

161. Periodic health examination, 1992 update. 4. Prophylaxis for gonococcal and chlamydial ophthalmia neonatorum. Canadian Task Force on the Periodic Health Examination. Am Med Assoc J 147:1449, 1992.

162. Wilhelm MP: Vancomycin. Mayo Clin Proc 66:1165, 1991.

163. Strominger JL, Tipper DJ: Bacterial cell wall synthesis and structure in relation to the mechanism of action of penicillins and other antibacterial agents. Am J Med 39:707, 1965.

164. Brennan C, Mulder RR: Conjunctivitis associated with methicillin-resistant Staphylococcus aureus in a long-term-care facility. Am J Med 88:14N, 1990.

165. Eiferman RA, O'Neill KP, Morrison NA: Methicillin resistant Staphylococcus aureus corneal ulcers. Ann Ophthalm 23:414, 1991.

166. Goodman DF, Gottsch JD: Methicillin-resistant Staphylococcus epidermidis keratitis treated with vancomycin. Arch Ophthal 106:1570, 1988.

167. Callegan MC, Hill JM, Insler MS et al: Methicillin-resistant Staphylococcus aureus keratitis in the rabbit: therapy with ciprofloxacin, vancomycin and cefazolin. Curr Eye Res 11:1111, 1992.

168. Gigantelli JW, Torres Gomez J, Osato MS: In vitro susceptibilities of ocular Bacillus cereus isolates to clindamycin, gentamicin, and vancomycin alone or in combination. Antimicrob Agents Chemother35:201, 1991.

169. McLeod SD, DeBacker CM, Viana MA: Differential care of corneal ulcers in the community based on apparent severity. Ophthalmol 103:479, 1996.

Back to Top